We started to look at an alternative way of expressing lines, through the use of vectors.
HOMEWORK: Page 433 - 434, #'s 4, 5, 7, 9 and 11
P.S. Get back into the swing of things as we head into the final month of class. Read ahead into section 8.2 in preparation for class on Friday.
Thursday, May 31, 2012
Monday, May 28, 2012
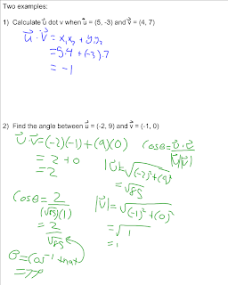
Ch. 7 Review
It's been a while since we have made an entry to the blog...
Key concepts from Chapter 7 are:
#'s 1, 2, 3, 4, 6, 7, 9, 12, 14, 15, 18, 20, 23, 24, 25, 27, 30 and 34
Now start studying!!!
Key concepts from Chapter 7 are:
- Vectors as forces
- Dot product of geometric and algebraic vectors
- Scalar and vector projections
- Cross product
- Applications of the dot and cross product
#'s 1, 2, 3, 4, 6, 7, 9, 12, 14, 15, 18, 20, 23, 24, 25, 27, 30 and 34
Now start studying!!!
Thursday, May 17, 2012
Vector Projections
Below are the links to the videos that we watched in class today regarding Scalar and Vector Projections.
Use these along with the examples in your student text (section 7.5) to consolidate your knowledge on this topic.
http://www.youtube.com/watch?v=0qMW4d8HwDw
http://www.vitutor.com/geometry/vec/vector_projection.html
HOMEWORK: Page 399-400, #'s 4, 6, 7, 11 and 13
Use these along with the examples in your student text (section 7.5) to consolidate your knowledge on this topic.
http://www.youtube.com/watch?v=0qMW4d8HwDw
http://www.vitutor.com/geometry/vec/vector_projection.html
HOMEWORK: Page 399-400, #'s 4, 6, 7, 11 and 13
Tuesday, May 15, 2012
Algebraic Dot Product
Once again you are encouraged to read over the examples provided in your student text. Pay close attention to example 5 on page 384 as it may prove useful in helping you answer some of the homework questions.
HOMEWORK: Page 385 - 387, #'s 2, 6c, 7, 10, 12, 16 and 17
HOMEWORK: Page 385 - 387, #'s 2, 6c, 7, 10, 12, 16 and 17
Monday, May 14, 2012
Geometric Dot Product
We looked at section 7.3 in class on Monday.
HOMEWORK: Page 377, #'s 2, 6ab, 7a, 8, 9 and 11
NOTE: We will be moving into section 7.4 tomorrow, this involves the dot product of algebraic vectors.
HOMEWORK: Page 377, #'s 2, 6ab, 7a, 8, 9 and 11
NOTE: We will be moving into section 7.4 tomorrow, this involves the dot product of algebraic vectors.
Thursday, May 10, 2012
Velocity (Section 7.2)
Don't forget to read the examples from your text for this section.
HOMEWORK: Page 369 #'s 3, 4, 5, 6, 8, 9 and 12
HOMEWORK: Page 369 #'s 3, 4, 5, 6, 8, 9 and 12
Tuesday, May 8, 2012
Vectors as Forces
We have started chapter 7. Please, please, please read ahead.
HOMEWORK: Page 362 - 364, #'s 3, 5, 7, 8, 13 and 17
HOMEWORK: Page 362 - 364, #'s 3, 5, 7, 8, 13 and 17
Friday, May 4, 2012
Parking Lot
Just providing a clean spot in case any of you have any questions that you want clarified prior to the test on Monday. I will check the blog at least twice this weekend. Sometime Saturday night and sometime Sunday evening as well.
Wednesday, May 2, 2012
Operations with Vectors in 3-space
We managed to get through 6.7 in class today. On track to finish chapter 6 tomorrow with a lesson on linear combinations and spanning sets. UNIT TEST will be on MONDAY, May 7th
HOMEWORK: Page 332 - 333, #'s 1, 2, 5 through 8, 12, 14 and 15
HOMEWORK: Page 332 - 333, #'s 1, 2, 5 through 8, 12, 14 and 15
Tuesday, May 1, 2012
Algebraic Vectors in 2-space
We continued onto section 6.6 in class today. The plan is to move ahead with 6.7 on Wednesday, so be sure to read ahead as always.
HOMEWORK: Page 324, #'s 1, 5, 7, 9 and 13
HOMEWORK: Page 324, #'s 1, 5, 7, 9 and 13
Subscribe to:
Comments (Atom)























